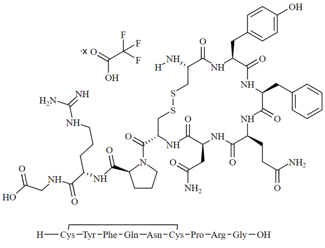
Vasopressin
In response to clinical needs such as central diabetes insipidus, postoperative abdominal distension, and gastrointestinal bleeding, the polypeptide hormone drug vasopressin exerts dual effects of vasoconstriction and promoting water reabsorption in renal tubules by specifically binding to V1 and V2 receptors, making it one of the key drugs for the treatment of the above-mentioned diseases. In addition to its core indications, it can also be used for bleeding control in emergency scenarios, benefiting people of all age groups from postoperative rehabilitation patients to patients with acute bleeding, and is an essential basic drug in the fields of clinical first aid and endocrinology.The current global market size of vasopressin-related preparations is approximately USD 480 million, and the compound annual growth rate from 2023 to 2029 is expected to remain at 5.2%, with growth drivers mainly coming from the expansion of demand in emergency scenarios and the application expansion in the field of urological surgery. In the domestic market, original research products and generic drugs coexist. After the implementation of centralized procurement, the price of preparations has dropped by more than 60%, directly driving the steady increase in demand for upstream API. At this stage, there are fewer than 5 domestic approved vasopressin API manufacturers, and the supply gap persists.The original research enterprise of vasopressin is Ferring Pharmaceuticals, and the original research brand name is Pitressin. The core compound patent in the US market expired in 1990. At present, the main dosage form of the original research product on the market is injection, with specifications including 1ml:20 units and 1ml:10 units. It has been included in the FDA Reference Listed Drug Catalog, and is also included in China's *Catalog of Reference Preparations for Chemical Drugs*. On the domestic front, there are currently 4 valid DMF registration numbers for vasopressin API under registration, 2 of which have been publicized in status A. There are 12 approved vasopressin injection products on the market in China, and the corresponding demand for API continues to be released. (Data as of October 2024, please refer to the official website of CDE for the latest information)CATO can provide a full set of vasopressin impurity reference standards. Most of the products support spot supply. Orders for in-stock products placed before 16:00 can be shipped on the same day. All reference standards comply with the regulatory requirements of the Chinese Pharmacopoeia, FDA and other regulations, and can fully meet the testing needs throughout the whole process of API R&D, quality research and production.
目前全球加压素相关制剂市场规模约为4.8亿美元,2023-2029年复合年增长率预计保持在5.2%,增长动力主要来自急诊场景需求扩容及泌尿手术领域的应用拓展。国内市场中,原研产品与仿制药并存,集采落地后制剂价格降幅超过60%,直接带动上游原料药需求稳步上升,现阶段国内获批的加压素原料药生产企业不足5家,供应缺口持续存在。
加压素原研企业为辉凌制药,原研商品名为Pitressin,美国市场核心化合物专利已于1990年到期。目前原研上市的主要剂型为注射剂,规格包括1ml:20单位、1ml:10单位两种,已列入FDA参比制剂目录,同时也被纳入我国《化学药品参比制剂目录》。国内方面,目前共有4个有效在登记的加压素原料药DMF登记号,其中2个已通过A状态公示,国内已有12个获批上市的加压素注射剂品种,对应原料药需求持续释放。(数据截至2024年10月,最新请以CDE官网为准)
CATO/佳途科技可提供加压素全套杂质标准品,大部分产品均支持现货供应,现货产品16:00前下单即可当天发货,所有标准品均符合中国药典、FDA等多法规合规要求,能够充分满足原料药研发、质量研究及生产过程中的全流程检测需求。



